投资背后的数学
投资看似复杂多变,方法无穷无尽,如星空宇宙,实则原理简单明了,万变不离其宗。这个不变的原理就是数学。从数学上看,长期投资获得回报的本质是本金的复利增长。复合增长的速度越快,财富积累的速度越快。要想获得长期的高复合增长,则要从数学上彻底搞明白这个增长率的内在本质。这就要从著名的贝尔实验室的两个杰出学者香农与凯利说起。
1948年,克劳德·香农发表了著名的论文《通信的数学原理》,奠定了信息论的基础。在香农的论文中,引入了一个重要的概念– 信息熵。熵的概念来源于物理学,是衡量一个系统无序程度的量。在信息论中,信息熵是衡量不确定性的量。在一个只有两种可能性,其概率为p与q,而且p=1-q的系统中,信息熵的公式是(Log是以2为底的对数):

比如一枚对称的硬币,只有正反面两种可能,正面的可能性p=1/2,反面的可能性q=1/2,则信息熵为H=1。香农的理论开创了人类通信的新时代,也启发了很多人,包括他的同事约翰·凯利。
香农在贝尔实验室的同事约翰·凯利在1956年发表了一篇重要的论文《信息率的一个新解读》。在这篇论文中,凯利推导出了赌博者在多次下注时每次投入本金的最佳百分比,即凯利公式。利用这个最佳百分比,赌博者可以获得最大速度的财富增长。如果赌博只有赢与输这两种可能,赢的概率为p,输的概率为q = 1 - p,且p >q。赢,则下注的资金翻倍,获得下注的等额回报。输,则损失全部下注。如果每次下注量占本金的比例固定为f,则使本金复合增长速度最大的最佳投注比例为f* = p - q。而赌徒的本金复合增长的速度为:

当我看到这个公式时,第一个直觉就是这与香农的信息熵联系紧密。所以,我把这个公式做了一个简单推导,却得出了惊人的结论。如果把最佳投注比例f = p - q及p + q = 1带入以上公式,就得到了带有香农的信息熵的最大复合增长速度公式:

这个公式说明了什么呢?用一句话概括就是“寻求确定性”。
确定性的数学道理
首先,不能参与信息熵接近1的博弈。比如参与50/50的抛硬币游戏,其信息熵为1,最佳投注比例为0%,即不参与。这就是说,无胜算,不参与,不打无准备的仗。在股票市场,投资翻倍并不容易。任何在胜算不超过50%的情况下“赌一把”的行为都有害于投资的长期复合增长。那些看似风光,经常参与小概率大回报的投机者是无法在长期获得财富的快速增长的。
其次,信息熵越高,越不确定,投资的长期复合增长率越低。要想获得长期的高复合增长,必须投资于信息熵低的确定的目标。为什么巴菲特总是投资于一些看似乏味,但未来可以预测的稳定增长的消费型公司,而不投资于高科技的微软或苹果公司?从信息熵的角度看,那些枯燥乏味的公司不确定性低,信息熵较低。而那些高科技公司的不确定性高,信息熵高。从长期看,从数学的角度分析,当然那些信息熵更低的公司更值得投资。只有投资于信息熵低的公司,长期才能有高的复合增长率。
过去的半个世纪,巴菲特的伯克希尔-哈撒韦实现了复合增长率20%左右,即G=20%,H=1-G=0.80。如果转换成前面的简单抛硬币游戏,这相当于在保持最佳投注比例的前提下,巴菲特进行的是有75%以上胜算的博弈。也就是说巴菲特抛的硬币有3/4的可能是他赢的那一面,只有1/4的可能才是他会输的那一面。在半个世纪的时间里长期玩这个高度确定的游戏,难怪巴菲特富可敌国。
第三,严格避免赌性过强,过度下注。在不借贷,不用杠杆的情况下,一个投资者的资金复合增长速度与他的下注比例是一条函数曲线,如下图:

从数学上看,即使胜算很高的投资,也存在一个最佳下注比例的问题。如果过度押注,必然是过犹不及,反而获得更低的复合增长速度。与押注不足增速放慢相比,过度押注还有更危险的地方,即复合增长进入负值区间,也就是损失本金。当一个人赌红了眼,把所有身家都押上,也就是押注比为1时,很容易获得负100%的增速,即损失掉所有本金,倾家荡产。
第四,避免大幅度的亏损。由于复合增长的特点是相乘的关系,任何一次大幅度的亏损都能抵消之前长时间的持续盈利,因此投资人很难从哪怕一次大的损失中恢复过来。在10年的时间里,最后一次70%的亏损能够让之前连续9年每年15%的复合增长几乎颗粒无收,即(1-70%)x(1+15%)^9 =1.055。这就是巴菲特常说的“投资的第一条法则就是别亏钱。第二条法则就是别忘记第一条法则。”的数学解释。
投资是一场永不停息的角逐,著名投资人Bill Miller曾经连续十五年战胜市场,却在2008年金融危机中损失60%,不但损失了之前十几年的全部涨幅,声誉也毁了。Bill Miller的故事发人深省。价值投资,逆向投资,集中持股,说起来容易做起来难。不看宏观的“纯粹”价值投资,在大部分时间是可以的,却会在灾难时刻损失殆尽,复合增长归零。
特殊的情况
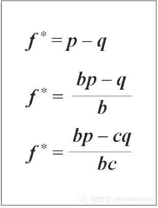
前面的数学分析是最简单的情况,赔率为1。另外,还可以有更复杂,更特殊的情况,如赔率为b的情况(输,则损失全部下注,赢,则获得投注的b倍的奖金)。另外,如果输的时候不损失全部投注,只输掉c倍的投注,赢的时候获得投注的b倍的奖金。这些都是凯利公式的变种,最佳投注比例是不同的。

值得注意的是,如果输的时候只损失小部分,即c是很小的百分数,而赢的回报非常高,即b是一个大于1的数时,f值可以大于1,也就是说借钱赌才是最理性的。而且在这种情况下,即使赢的几率很小,远低于输的几率也没关系,借钱赌也是合理的,因为赢的回报远高于输的损失。这其实就是泡沫的一个重要内在原因之一。如果输的损失不大,有人兜底,而赢的回报则非常高,借钱去赌是一种理性的选择。虽然大家都知道泡沫不可持续,泡沫继续上涨的几率远低于下跌的几率,但是只要输的损失不大(如国家买单兜底),赢的回报足够大,大家还是会趋之若鹜,疯狂推高泡沫。这其实是非理性中的理性选择。
另外一个情况就是在风险投资和期权投资中,胜率较低,远低于50%,但赢的回报有可能很高,高达几倍甚至几十倍,即b的数值远高于1。但是只要失败会损失全部投注,即c=1,那么根据上面的公式,投入的比例最高也就是胜率p。比如有100万倍回报的一生一次的机会,b=1,000,000但胜率只有1%,p=1%,而且失败会损失全部投注,c=1,那么最佳投注比例最高就是f* ≈ 1% 左右。
人的因素
大多数证券投资,本金翻倍已经是很高的回报了。即使是风险投资和期权投资,高倍数的潜在回报与高胜率也不可兼得。更重要的是,人都是会犯错的,人们往往高估自己的能力,对胜率及回报的估计很有可能误判,高估了自己获胜的概率及回报。如果没有安全边际,很容易就倾家荡产。这就是实际中为什么只有巴菲特富可敌国,但没有一个豪赌的投机者能够接近他的财富。索罗斯看似激进投机,但他也自己说过只会用盈利而不是本金去冒险。他寻找的是确定的趋势。
投资的乐趣在于千变万化,不断挑战人的智力。而数学之美则在于简单抽象而力量无穷。投资不是数字游戏,但却必须遵循数学的规律,更要考虑人性的弱点,需要结合数学与人性。


















