
一、研究背景
股指期货是金融衍生品,它的产生是为了实现套期保值。20世纪70年代,西方国家发生了石油危机,致使股票资产大幅贬值,为实现资产的保值,规避系统风险,股指期货应运而生。我国在2010年4月16日推出了自己的股指期货——沪深300指数期货合约。2015年4月16日,在沪深300指数期货推出整整五年后,中金所又推出了上证50指数期货和中证500指数期货,将大盘股和中小盘股纳入期货范围,进一步丰富了股指期货市场。
推出股指期货是中国资本市场发展的内在需要和必然选择。股指期货的推出,首先是丰富了我国的金融衍生品种类,完善了资本市场体系,有利于多层次资本市场的建设。其次,将我国的A股市场和期货市场联系起来,能够实现资产的套期保值功能,提供了一个规避市场系统性风险的工具。最后,期指的推出,使得做空成为可能,无论是上涨还是下跌行情,投资者都可以制定自己的投资策略,完成合适交易,实现更多参与,有利于市场的稳定发展。
正是这样一种具有良好投资价值的衍生品种,却在2015年夏天那场股灾中饱受争议。A股市场自2014年7月开始,经历了近一年的快速上涨,上证指数冲高至5000多点,深证成指冲到18000多点。但是从2015年6月中旬开始,短短二十天的时间,上证指数从5000多点一路跌至3500点,跌幅高达30%,两市个股跌幅普遍在50%以上。中证500股指期货对应的小市值股票在牛市行情中涨幅累积较大,当大盘急跌开始后,中证500(IC1507)主力合约分别在6月26日、6月29日、7月1日、7月7日和7月8日连续跌停,直接带动了中证500对应的成分股跌停,引发场内场外的融资盘被迫平仓,公募基金惨遭赎回。由于跌停板的限制,先跌停的股票卖不出去,只能卖出还没有跌停的别的股票,从而造成A股的多米诺式塌陷,大面积的个股跌停此起彼伏。因此当时市场上有观点认为,股指期货的做空机制使得现货指数的波动性大大增加,A股的系统性风险从而被明显地放大了。监管层在后期出台严厉措施,对股指期货投机交易作出了严格限制。
A股在此之后度过了近两年的恢复期,虽然在2016年初也曾出现过短暂的极端行情,但随着经济逐渐企稳、管理层规范市场制度和机构投资者比例提升,大盘已经逐渐走出股灾阴霾,投资者的悲观情绪得到了明显修复。2017年2月16日,股指期货迎来首次松绑。2017年9月15日,中金所宣布将沪深300和上证50股指期货的保证金标准,由2月规定的20%进一步下调为15%;沪深300、上证50、中证500股指期货平今仓交易手续费标准进一步下调为成交金额的万分之六点九。股指期货的配置价值再次成为了许多投资者关注的焦点。
二、股指期货与股票市场波动性关系的实测
针对股灾期间市场上出现的“股指期货加剧了市场波动性”的观点,本文通过回测期现货市场的历史时间序列数据,从统计学层面分析了股指期货的正常运行是否会增加市场波动性,以及对波动性影响是否显著等问题。
(一)实证模型框架
为了尽量消除时间序列数据的自相关性和异方差性对参数估计的影响,本文采用ARMA(p,q)-GARCH(m,n)模型,并表示如下:

模型第一个公式中,p表示序列自相关性的阶数,q表示移动平均的阶数。P、q的大小由计量软件EViews提供的相关性分析图确定。表示外生变量,φ是匹配外生变量的回归系数。是滞后i阶的时间序列。代表白噪声,服从均值为0,方差为常数的正态分布,即标准正态分布,简记为,是滞后j阶的残差序列。这样便将当前方差跟过去扰动项的变化联系起来了,使得方差具有时变性。
模型第二个公式中,m表示方差自相关性的阶数,n表示移动平均的阶数,m,n的大小由计量软件EViews提供的异方差分析图确定。为常数项,是时间序列的方差,是滞后阶的残差序列,是滞后阶的残差平方序列。
GARCH模型解决了异方差性问题,很大程度上可以合理刻画波动率变化,但仍有一些不完善之处。TARCH模型又称为门限模型(Threshold ARCH),一般化的条件方差方程如下:
当小于0时,为1;当大于0时,为0。
在这个模型里,好消息,坏消息,对于条件方差具有不同的影响。好消息的影响是,坏消息的影响是。如果,坏消息增加了波动率,这时就认为存在杠杆效应,所以时,消息冲击是不对称的。
以上为本文研究所使用模型的思路,至于模型具体参数的设置,则需要对沪深300指数和指数期货收益率序列进行一系列检验才能确定,具体包括收益率序列的波动性特征分析、平稳性检验、线性相关性检验、异方差性检验。经过上述过程后,最终确定所适用的模型,来分析股指期货市场对现货市场波动性的影响。
(二)数据的处理
期货的特点使得期货价格在时间上存在间断点,为了保持期货价格在时间上的连续性,本文选择主力合约法。沪深300指数期货交易的主力合约是当月合约,因此选取当月连续期货合约作为研究对象。选取的沪深300指数期货数据来自中国金融期货交易所和Wind金融综合服务平台,样本区间从股指期货推出日2010年4月16日到2015年4月17日,即IF1504合约的到期日,一共1213个交易日。
一般认为股权分置改革前后股票市场结构存在很大变化,因此本文将2007年之后的沪深300指数作为研究对象,具体交易时间段为2007年1月4日到2015年4月17日,共2013个交易日,即股指期货推出之前的800个交易日和推出之后的1213个交易日,前后样本比例2:3。
样本具体情况如下:
表1 数据样本统计
2015年4月16日,中金所又推出了上证50指数期货和中证500指数期货,此部分的样本空间排除了两个新的股指期货品种对现货市场的影响,同时,在15年股灾期间沪深大幅下跌行情中,中金所限制了股指期货市场的流动性,在一定程度上造成了研究样本的失真,因此本部分没有选择2015年4月16日之后的样本数据,后面会单独进行分析。
(三)波动性特征
本文采用的收益率是对数收益率。使用对数收益率的好处有两个,一是对数收益率作为价格的对数差分,能够在一定程度上消除价格序列相关性,二是对数收益有运算上的方便,比如5日对数收益率等于连续5个交易日的日收益率之和。
图1为沪深300指数日收益率波动情况,可以看出,收益率具有波动聚集性。这或许跟国内股票市场实行涨跌幅限制有关,使得收益率的变化不能立即得以释放,必须经历一个过程才能逐渐平复。收益率的这种波动特征也隐含了其可能存在的异方差性,这为研究提供了直观证据。
(四)描述性统计特征

图2是日收益率的分布情况,可见和正态分布有明显不同,存在典型的尖峰肥尾现象。为了将这一点看得更清楚,现将样本数据进行标准化处理,即将原样本数值变换为均值为0,标准差为1的数据集,同时将坐标轴刻度进行标准化处理,得到图3。从图3发现,日收益率和正态分布相比,1个标准差事件发生的概率要大的多,同时有更多的数据点集中在均值附近。
(三)平稳性检验
在进行计量分析之前,首先要保证序列是平稳的,即进行单位根检验。本文选用ADF检验,零假设是序列具有单位根,外生变量选用的是常数项和截距项,滞后阶数的自动选择依据Schwarze-Infor-Criterion。
表2 沪深300指数收益率序列的单位根检验

表2为沪深300指数收益率序列的单位根检验结果,可见无论是在股指期货推出之前,还是在股指期货推出之后,以及整个样本区间内,t-统计量值都显著小于1%置信水平下的临界值,可见序列是平稳的。
(四)线性相关性消除
判断序列相关性时可以通过指标自相关系数AC(AutoCorrelation)、偏相关系数(Partial-AutoCorrelations )。接下来图示给出了日收益率序列的相关性检验报告,滞后阶数一直到9。各滞后阶数的AC、PAC图两侧的短线代表两个标准差的界限,如果AC、PAC在这个区间里面,说明在5%的置信水平下,AC、PAC显著为0,否则拒绝显著为0的假设,即序列存在相应滞后阶数的相关性。
图4为沪深300指数在整个样本区间的相关性检验结果,该序列存在4阶、6阶自相关性。这样进行波动性实证分析时,需要使用ARMA模型消除线性相关性。

(五)异方差性检验
普通最小二乘法在存在异方差时能保持一致性,但计算的标准误差不再有效。为了回归的准确性,本文使用Breusch-Pagan-Godfrey检验,来对数据的异方差性进行检验。
表3 沪深300指数收益率异方差性检验


上表为沪深300指数收益率异方差检验结果,其统计量对应概率值显著小于置信水平,所以拒绝不存在异方差的原假设,不能再使用普通最小二乘法进行回归分析,应当采用GARCH族模型来消除异方差性。
(六)ARMA-GARCH模型分析
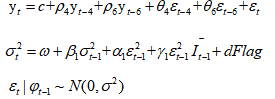
前面已经得出结论,沪深300指数收益率序列存在4阶、6阶自相关性,并且具有异方差性。ARMA(6,6)模型可以很好地消除线性相关性,GARCH(1,1)模型能很好地消除异方差性,因此本文使用ARMA(6,6)-GARCH(1,1)模型来研究沪深300指数期货推出后对现货市场的波动性影响。具体方程如下:

为哑变量,在股指期货推出前,即时间段2007/1/4-2010/4/15内取值0,在股指期货推出后,即时间段2010/4/16-2015/4/17内取值1。为了分析股指期货推出对现货市场影响的具体情况,本文分别研究股指期货推出1年、3年、5年等3个时间段以来现货市场的波动性变化,这样就可以体现股指期货对现货市场影响的时间效应。
首先,分析股指期货运行5年以来对现货影响的整体情况,选取的样本区间为2007年1月4日至2015年4月17日,即整个样本区间。回归结果如下表所示。
表4 沪深300指数ARMA-GARCH模型结果(4/01/2007-17/04/2015)
上表为模型回归所得结果,具体表达式如下:
从回归结果来看,变量之前的系数为-0.00000514,符号为负,数值较小,说明股指期货运行5年以来,现货市场波动性降低了,但影响很小。
表5 沪深300指数ARMA-GARCH模型结果(4/01/2007-15/04/2011)

表6 沪深300指数ARMA-GARCH模型结果(4/01/2007-19/04/2013)

表5和表6分别给出样本区间取值2007年1月4日至2011年4月15日、2007年1月4日至2013年4月19日,即股指期货推出1年、3年以来,对现货市场波动性的影响情况。1年、3年之前的系数均为负值,且数值较小,与5年情况类似。
综合以上分析可见,股指期货对现货市场波动性的影响没有明显的时间效应,刚推出后的1年和推出很长时间之后的5年,其对现货市场的影响是一致的,都降低了现货市场的波动性,影响幅度很小。
(七)ARMA-TARCH模型分析
如前面所述,为了研究消息影响市场的非对称性,接下来引入TARCH模型。本文使用ARMA(6,6)-TARCH(1,1)模型来研究沪深300指数期货推出后对现货市场的波动性影响。具体方程如下:

为哑变量,取值和前面一样。
表7 沪深300指数ARMA-TARCH模型结果(4/01/2007-17/04/2015)

上表为模型回归所得结果,具体表达式如下:

从TARCH模型的回归结果来看,之前的系数较之GARCH模型没有太多变化,说明两种模型的内在一致性,同时,杠杆效应明显,好消息、坏消息对市场波动性的影响不一样,坏消息对市场波动性的影响比好消息要大。股指期货实际上提供了一种做空功能,当坏消息来临时,市场做空的手段增多,比好消息更容易引起波动。
三、股指期货影响2015年市场下跌的实例分析
前面部分的样本空间为沪深300指数期货推出日2010年4月16日到2015年4月17日,即IF1504合约的到期日。2015年4月16日,中金所又推出了上证50指数期货和中证500指数期货,前部分样本空间排除了两个新的股指期货品种对现货市场的影响,同时,在2015年股灾期间沪深大幅下跌行情中,中金所采取监管措施,限制了股指期货市场的流动性,本部分单独对2015年4月16日之后股指期货影响现货市场波动性的情况进行分析。为了保证研究的完整性,仍然使用上文的计量模型。
沪深300指数推出时间是2005年4月8日,上证50指数推出时间是2004年1月2日,中证500指数推出时间是2004年12月31日。我们选取的标准和建模方法同前面类似,从2007年1月4日开始,截止到2015年9月18日,即9月合约到期日,这样便可以将期间几个月的股灾行情包括进来。
对于沪深300指数而言,使用ARMA(6,6)-TARCH(1,1)模型,对于上证50指数、中证500指数而言,使用ARMA(1,1)-TARCH(1,1)模型。具体回归结果如下表所示。
表8 沪深300指数ARMA-TARCH模型结果(4/01/2007-18/09/2015)


表9 上证50指数ARMA-TARCH模型结果(4/01/2007-18/09/2015)

表10 中证500指数ARMA-TARCH模型结果(4/01/2007-18/09/2015)
从以上结果可以看出,沪深300指数期货对现货市场波动仍有降低作用,不过是轻微的,同时也存在显著的杠杆效应,这与前面大样本数据得出的结论一致,即将本轮股灾行情包括进来时,仍不能说明沪深300指数期货加大了沪深300现货市场波动,上轮短期几个月的市场下跌并不能改变股指期货降低现货市场波动性的长期性结论。上证50指数期货、中证500指数期货则因为数据样本空间的问题,影响系数和杠杆效应系数并不显著,无法从计量模型角度得出明确结论。
四、股指期货市场与现货市场的互相作用
通过较大篇幅的论证,上文从计量模型的角度得出了股指期货有平抑市场波动性的结论。事实上,从股指期货自身特有的交易机制和交易目的等本质特征来分析,也会发现期指市场的投资者不具备导致现货股票市场波动性增加的条件和动机。
中国股指期货市场发展较发达市场滞后,规模相对较小,按照2015年8月24日的收盘持仓估算,当时期指的市场规模仅1020.68亿元,如此小的市场,跟同期总市值达50.48万亿元的股市完全不是一个量级。操纵规模较小的股指期货而希望在规模较大的股市上获利,根本无法实现。
股指期货市场的多空头寸都是一一对应的关系,对市场中某一类投资者而言,多空持仓可能会出现不平衡,即持仓净多或净空的情况;但从全市场角度看,每一张空单都和一张多单相配对,如没有对手方,单边的做多、做空都无法开仓。因此,股指期货市场不会出现打压股市的净空头,利用股指期货做空不能单独成立。
股指期货市场的参与者可分为套利、投机和套保三类。对于套利者而言,他们往往同步持有期、现货头寸,交易目的是获取价差收益。而且,股指期货市场的套利机制能够保证期现价格的收敛,如果有资金试图操纵市场,一旦出现股指期、现货指数的偏离,套利资金就会做出反应,将期现价差迅速抹平,操纵者无异于在给套利者送钱。对于投机者而言,他们基本都是中小散户,其持仓仅占较低比例,根本不可能撬动整个股市。对于机构套保者而言,它们占有中国股指期货市场的主要空头持仓,许多机构在股指期货上做空的同时,实际上是在股市中进行买入操作,而不是抛出股票,有助于缓解股市抛压、提高股市稳定性。
五、监管层对股指期货的限制和松绑措施
鉴于2015年股灾时市场上投资者的恐慌情绪,和股指期货自身的杠杆作用确有放大恐慌情绪的问题,2015年7月底至9月初,中金所持续出台了多项限制股指期货交易的措施,包括调整日内开仓限制标准、提高保证金标准和平今仓手续费标准等。2015年9月2日更是将限制措施紧缩到“极致”:9月7日起,股指期货客户在单个产品、单日开仓交易量超过10手的构成“日内开仓交易量较大”的异常交易行为,股指期货平今仓交易手续费提高至按成交金额的万分之二十三收取;9月7日结算时起,沪深300、上证50和中证500股指期货非套期保值持仓交易保证金标准提高至40%,套期保值持仓交易保证金标准提高至20%。自此之后一年半的时间里,股指期货的日内交易量和持仓量逐步萎缩至不足原来的十分之一。
然而随着市场环境和经济政治形势的变化,2015年股灾的阴霾开始慢慢消散。中金所在2017年2月16日晚宣布,自2月17日起,从三个方面对全面受限的股指期货进行松绑:第一,将股指期货日内过度交易行为的监管标准从原先的10手调整为20手,套期保值交易开仓数量不受此限;第二,沪深300、上证50股指期货非套期保值交易保证金调整为20%,中证500股指期货非套期保值交易保证金调整为30%(三个产品套保持仓交易保证金维持20%不变);第三,将沪深300、上证50、中证500股指期货平今仓交易手续费调整为成交金额的万分之九点二。
这是上证指数自2016年2月进入震荡上行“慢牛”格局一年之后,监管层首次对股灾期间设立的严格监管措施进行松绑。虽然从绝对量上来看,从10手放宽到20手和股灾前无限制的规则看,显得有点微不足道。但从2017年2月之后,三大品种期指合约的成交量和松绑之前相比,确实有了翻倍的跃升,这既从侧面说明投资者依然对股指期货有很大的需求,同时更明确了监管层认为市场行情已经开始朝着有利于股指期货业务全面开展的方向在运行。
时间进入到2017年9月,上证指数已经突破了3300点,创业板指经过半年多的调整,也出现了明显的企稳向好迹象,监管层对于资本市场的影响力和控制力也已经今非昔比。更为重要的是,随着沪港通、深港通和养老金入市,以及越来越多的私募、公募和保险产品选择配置A股市场,机构资金对于在投资组合内配置一定股指期货仓位的需求越来越强。9月15日,中金所通知称,自9月18日结算时起,沪深300和上证50股指期货各合约交易保证金标准,由目前合约价值的20%调整为15%。沪深300、上证50、中证500股指期货各合约平今仓交易手续费标准调整为成交金额的万分之六点九。监管层在此时决定进一步稳妥有序的放松对股指期货投资的限制,可谓是恰逢其时,以实际行动回应了投资者的关切和市场需求,并为未来适时全面取消对股指期货的特殊限制打下了良好基础。
六、关于完善股指期货市场的建议
虽然股指期货是一种具备平抑市场长期波动性和规避市场风险的有效投资工具,但如果缺少良好的制度设计和有效的市场监管,任何金融资产品种都可能成为一把“双刃剑”。为了促进中国股指期货市场长期健康发展,我们建议在未来对股指期货限制措施逐渐松绑的过程中,监管层应同步改革和完善现有市场机制和监管措施:
(一)提高股票市场有效性
国家应制定相应法律法规,保护中小投资者利益。打破证券市场与期货市场之间的壁垒,统一管理期现市场间经营头寸,建立联合管理机构进行风险管理。
(二)规范投资者
首先,完善投资者结构。市场上的交易主体分成套期保值者、套利者和投机者。对于股指期货市场来说,证券、基金等机构投资者的参与能够更好地实现股指期货套期保值和规避市场系统风险的功能,套利者的参与能够最快地促进市场的平衡,投机者则保证了市场的流动性,三种交易者缺一不可,要在交易规模上保持一个最佳比例,使得市场最活跃,最稳定。其次,加强对中小投资者的教育。中小投资者在资金规模、交易策略以及信息获取方面都不占优势,交易的失利使他们很容易退出市场。让投资者充分了解金融衍生品包含的风险,提高投资者的投资水平,这样才能持续不断的吸引投资者理性参与市场。
(三)加强监管
我国股指期货市场的监管制度建设与监管体制相适应,体现在三个层面。一是国务院制定的行政法规和证监会制定的部门规章,二是行业自律协会制定的行业规范,三是交易所制定的交易规则和配套制度。除了继续加强上述监管之外,中金所应与香港交易所、新加坡交易所加强信息交流,加强与香港、新加坡的跨区域市场监管合作。
(四)推出其它金融衍生品
目前上市的三种股指期货的运行是成功的。为了完善衍生品市场结构,丰富投资者投资策略,可以在适当的时间推出其它的金融衍生品,实现和指数期货的互补、互动,提高市场的有效性。比如可以推出其它标的的股指期货,像中小盘指数期货、行业指数期货等。
参考文献
[1]刘鸿儒,股指期货教程[M]—序言,上海,上海远东出版社,2008.
[2]谢磊,王业成,股指期货对股票现货市场波动性影响的实证研究[J]技术经济,2012,3.
[3]李治,股指期货一影响我证券市场有效性的一把双刃剑[J],生产力研究,2013 (4):42—43.
[4]罗成斌,香港恒生指数期货与现货协整关系分析[D],武汉理工大学硕士论文,2008(11).
[5]赵焕成,中国股指期货推出对股指波动影响的分析-基于香港股指期货对股指波动影响的实证研究[J],中国财经大学研究生学报,2008(6).
[6]张翠竹,新会计准则下股指期货的会计处理及其风险分析[D],西南财经大学硕士论文,2007.
[7]刘考场,李树压,舒杨.股指期货对于市场波动性影响的分析-基于KOSPI200和TAIEX股指期货的实证分析[J],河北大学学报,2008 (3).
[8]郭睿,引进股指期货对现货市场的影响研究[J],吉林大学博士学位论文,2005.
[9]张寅,中国股指期货的风险成因及防范机制-以宏观层面的监控为视角[J],江苏工业学院学报(社会科学版),2010(6).
[10]程可胜,随机游走与期货市场有效性检验[J],华东经济管理,2009(1).
[11]张海旺,我国期货市场有效性的实证分析[J],大连:东北财经2004:14-19
中证网声明:凡本网注明“来源:中国证券报·中证网”的所有作品,版权均属于中国证券报、中证网。中国证券报·中证网与作品作者联合声明,任何组织未经中国证券报、中证网以及作者书面授权不得转载、摘编或利用其它方式使用上述作品。凡本网注明来源非中国证券报·中证网的作品,均转载自其它媒体,转载目的在于更好服务读者、传递信息之需,并不代表本网赞同其观点,本网亦不对其真实性负责,持异议者应与原出处单位主张权利。
特别链接:中国证券监督管理委员会上海证券交易所深圳证券交易所新华网政府部门交易机构证券期货四所两司新闻发布平台友情链接版权声明
关于报社关于本站广告发布免责条款
中国证券报社版权所有,未经书面授权不得复制或建立镜像 经营许可证编号:京B2-20180749 京公网安备110102000060-1
Copyright 2001-2018 China Securities Journal. All Rights Reserved
中国证券报社版权所有,未经书面授权不得复制或建立镜像
经营许可证编号:京B2-20180749 京公网安备110102000060-1
Copyright 2001-2018 China Securities Journal. All Rights Reserved



